Example 1

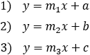
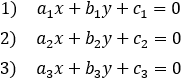
1) x + 2y = 1 2) 2x − 2y = 5 3) x + 4y = 2

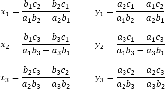
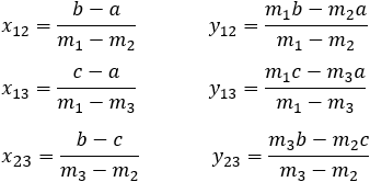
The vertices are the intersection point of all three pairs of the triangle sides:
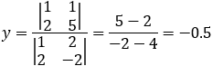
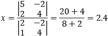
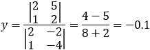
Intersection points of the sides according to Cremer’s rule or by substitution method.






And the vertices are at the points: (2 , −0.5) (0 , 0.5) (2.4 , −0.1)
the length of the triangle sides are the distances between the vertices:



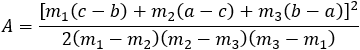
The circumcircle center is located at the point of the intersection of the perpendicular bisectors of the triangle ribs.
The midpoint of the ribs can be found by the equation

Substituting values of the end points of line 1) we get the center point:

The slope of the perpendicular line to side 1) is: mp1 = −1/m1 = −1/−0.5 = 2
The equation of the perpendicular line that is passing through the midpoint (1 , 0) and has slope of mp1 = 2 is:

y − 0 = 2 (x − 1)
y = 2x − 2
We will perform the same process on line 2 to get the mid point of line 2:

The slope of the perpendicular line to side 2) is: mp2 = −1/m2 = −1/1 = −1
And the second perpendicular line equation is: y = −x + 1.9
The intersection of the 2 lines y = 2x − 2 and y = −x + 1.9 will evaluate the coordinate of the circumcircle center:
After solving for x and y we get the coordinates of the circumcenter: (1.3 , 0.6)
The radius of the circumcircle is the distance between the point of the triangle sides intersection to the circumcenter (2 , -0.5) and (1.3 , 0.6)


