Right triangle overview

Scalene triangle overview

|
|
|
||
|
|||
|
|||
|
The area (A) of a triangle is also equal to half the base multiply by the height
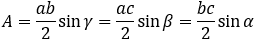
![]() Area of a triangle (A) described by the angles is:
Area by Heron's formula:
![]() Where s is half the perimeter
![]()
|
|||
|
Triangle inequality:
![]() |
Right, isosceles and equilateral triangle table

Similar triangles

Triangle circumcircle

Triangle medians

Triangle altitudes

Ceva's theorem











