|
If the center of the ellipse is moved by x = h and y = k then if a point on the ellipse is given the corresponding x or y coordinate is calculated by the equations:
| Ellipse equation |
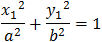
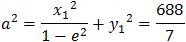
Given |
Equivalent point on ellipse |
 |
x1 |
 |
| y1 |
 |
Notice: these equations are good for horizontal and vertical ellipses.
| Ellipse |
 |
 |
| Center |
(h , k) |
(h , k) |
| Vertices |
(h − a , k) (h + a , k) |
(h , k − a) (h , k + a) |
| Foci |
(h − c , k) (h + c , k) |
(h , k − c) (h , k + c) |
The slope of the line tangent to the ellipse at point (x1 , y1) is:
The equation of the tangent line at point (x1 , y1) on the ellipse is:

①
Ax2 + By2 + Cx + Dy + E = 0
②
② → ①
A = b2
B = a2
C = 2hb2
D = 2ka2
E = a2k2 + b2h2 − a2b2
Polar coordinate of ellipse:
Any point from the center to the circumference of the ellipse can be expressed by the angle θ in the
| range (0 − 2π) as: |
x = a cosθ y = b sinθ |
If we substitute the values x = r cosθ and y = r sinθ
in the equation of the ellipse we can get the
| distance of a point from the center of the ellipse r(θ) as: |
 |
If the origin is at the left focus then the ellipse equation is:
|