




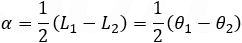
If central angle θ and inscribed angle α intercepts the same cord or arc (at the same side) then:


If two lines originating from the same point P intersects the circle at two different locations, then:

We can also write:(a + b) a = (c + d) c
If line PD = c is tangent thenc2 = (a + b) a

The value of an angle formed by a secant or tangent line drawn from a point P outside the circle equals the half of the difference of the intercepted arcs or central angles.


The sum of the opposite angles in an inscribed quadrilateral are equal to 180°.

The sum of the opposite sides of inscribed (cyclic) quadrilateral are equal.

The product of the diagonals of a cyclic quadrilateral equals the sum of the products of the opposite sides.






If line L is tangent to the circle, then the angle between the radius connecting circle center and the intersection point with line L forms an angle of 90 degrees (right angle).

If a line L is tangent to the circle, then the angle between the tangent line and the alternates angles are equal.

Two tangents lines that are originating from the same point outside of the circle, are of equal length and the angles α and β are equal.
AB = AC
α = β
Example 1 - Inscribed angle

We see from the drawing that the inscribed angles α and β have common cord BC therefore they have the same value.
α = β = 30 degree
From the sin equation we can find the length of BE:
BE = AB sinα = 8 * sin30 = 4 cm
Because the cord BD and the diameter AC are perpendicular then BE = ED = 4 cm
And the value of cord BD is: BD = 2 BE = 2 * 4 = 8 cm
Now we can find the length of EC = ED tanβ = 4 tan30 = 2.31 cm

Example 2 - Inscribed angle

Because AD is the diameter then angle ∢ is a right angle and γ = 90 − α.
From the theorem of the sum of the opposite angles of a cyclic quadrilateral is equal to 180 degree we get.
γ + β = 180 degree
90 − α + β = 180 degree
β = 90 + α
β = 90 + 27 = 117 degree
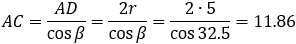
Example 3 - Tangent line

γ is a central angle based on cord AB, the value of angle is:
γ = 180 − α = 180 − 65 = 115 degree.
Now we can find the value of angle β from the isosceles triangle AOB that contains two sides of the radius r (we could use instead the fact that α = 2β complementary angle).
β = (180 - γ) / 2 = (180 − 115) / 2 = 32.5 degree.
Now we can find line AC using cos function.

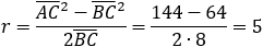
Example 4 - Tangent line

Because line AC is tangent to the circle then angle OAC is 90 degree, and we can apply the Pythagoras formula:




Example 5 - Inscribed angles

To prove that angle α = β we shall continue radius BO until it cuts the circle at point E (see figure 2).
Notice that angles γ and δ are inscribed angles with common cord BC therefore they are equal:
γ = δ
Angle BCE is a right angle because it is an inscribed angle with a cord BE coincide with the radius

β = 180 − 90 − δ
Example 6 - Tangent line

Because line BC is tangent to the circle then angle BCO is 90 degrees, and we can find the value of angle β
Applying the cos law on triangle AOC we have:








