| Divide terms into x and y variables: |
(x2 − 4x ) − (16y2 + 32y ) − 28 = 0 |
| By applying the method of completing the square formula (x + a)2 = x2 + 2ax + a2 we get: |
|
(x − 2)2 − 4 − 16(y + 1)2 + 16 − 28 = 0 |
|
(x − 2)2 − 16(y + 1)2 = 16 |
| After dividing by 16 we get: |
 |
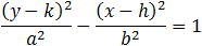
The center of this hyperbola is at (2 , − 1) h = −2 and k = 1.
The transvers axis half length (a) is equal to 4.
and the conjugate axis half length (b) is equal to 1.
Because a > b this hyperbola is horizontal so the transverse axis is along the x axis.
| The foci distance is calculated from the equation: |
 |
In order to find the coordinates of the foci we will take the center of the hyperbola at (2 , −1) and add and subtract the value of c in the x direction.
(2 + c , −1)   (2 − c , −1) = (2 + 4.12 , −1)   (2 − 4.12 , −1) = (6.12 , −1)   (−2.12 , −1)
To find the coordinate of the vertices we perform the same process as for the foci but with the value of the transverse axis length a.
(2 + a , −1)   (2 − a , −1) = (2 + 4 , −1)   (2 − 4 , −1) = (6 , −1)   (−2 , −1)
Repeat the same method as before but with + sign instead of minus x2 − 16y2 − 4x − 32y + 28 = 0
| (x2 − 4x ) − (16y2 + 32y ) + 28 = 0 |
| (x − 2)2 − 4 − 16(y + 1)2 + 16 + 28 = 0 |
| (x − 2)2 − 16(y + 1)2 = −40 |
| Divide by −40 and again by 16 we get: |
 |
| and finally, |
 |
We can see that changing the sign of the last term changed the value of the free term to negative and hence the hyperbola changed to vertical also the values of a and b had been changed.
|