Two pulleys of 20 cm and 10 cm radii are connected by a belt. The distance
between the centers of the pulleys is 0.5 m. Find the length of the belt and the angular velocity of
the big pulley if the small pulley is rotating at a rate of 100 rpm.

Figure - 1
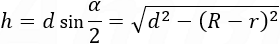
From figure 1 we see that triangles ACD is
similar to triangle ABE (all the angles are the same). We have the relations:
Now we can find the value of b:
Calculate the angle γ by the equation:
deg
The value of h can be calculated by Pythagoras theorem:
Angle ω is:
ω = 90 − γ = 90 − 11.5 = 78.5 deg
| Track arc length of the big pulley is: |
 |
| Track arc length of the small pulley is: |
 |
The length of the belt is:
L = LR + Lr + 2h = 0.71 + 0.27 + 2 * 0.485 = 1.95 m
The circumference of the big and the small pulleys are:
CR = 2 π R
Cr = 2 π r
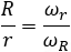
When the small pulley is performing 1 rotation the big pulley will make r / R rotations.
The angular velocity of the big pulley is:
rpm
And the angular velocity in rad / s is:
rad / s