Algebra Equations Summary
Algebra - basic laws summary

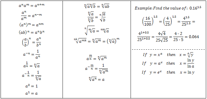
Power expressions

Powers

Logarithms

Limits

Absolute values and inequalities

Arithmetic and geometric series

Factorial numbers

Permutations

Combinations

☖ Home
⇄ Units Converter
⧉ Geometry
Σ Math
✈ Physics
〶 Electricity









