☖ Home Units Converter Geometry Σ Math Physics Electricity
Acceleration solved problems
Train emergency stop - example 1 Derivation of acceleration equations - example 2 Object movement - example 3 Car acceleration - example 4 Trains emergency breaks - example 5
Distance between two cars - example 6 Half time velocity - example 7 Chasing car - example 8 Lose time because of deceleration - example 9 Railroad and car crossing - example 10
Acceleration due to wind - example 11 A car acceleration and deceleration - example 12 cheetah chasing a deer - example 13 Displacement, velocity and acceleration graph - example 14 Displacement and acceleration graph - example 15
Car and motorcycle race - example 16 Car and motorcycle distance - example 17 Object location as a function of time - example 40 Acceleration as a function of time - example 41 Car break as a function of time - example 42

Acceleration equations and calculating notes

Print notes ABOUT Acceleration calculation


In terms of derivation:
(2d)
(2e)
(2f)
(2g)
(2h)
The equations for acceleration or deceleration when air resistance is not considered are (d is the distance travelled):
(2a)
vt = v0 + a t(2b)
vt2 = v02 + 2 a d(2c)

Direction Acceleration signs
Acceleration + a
Deceleration − a
The unit for acceleration is   [m / s2]
If acceleration is  0  (a = 0)     then     d = v t     (constant velocity)
From equations  2d  and  2f  we can eliminate dt: dt=dx/v dt=dv/a And we get:
a dx=v dv or a dx=v dv (2i)
v - t graph From equation  2h  we have:                         dt=dx/v
From the  v/t  graph we can clearly see that the distance travelled  x2 − x1  is equal to the area bellow the graph from  t1  to  t2  and the tangent of the red line is the acceleration  a = dv / dt.
A c c e l e r a t i o n
Constant velocity
Acceleration [a]: [m/s2] Velocity
[m/s]
Initial velocity [v0]:
[m/s]
Distance [m]
Final velocity [vt]:
[m/s]
Time [s]
Distance [d]: [m]
Travel time [t]: [s]
Values given v0 = vt = d = t =
v0     vt     a
d     t     a
v0     d     a
vt     d     a
t     v0     a v0 + a t
t     vt     a vt − a t
Values given a = vt = d = t =
v0     vt     d a=(〖v_t〗^2-〖v_0〗^2)/2d t=2d/(v_0+v_t )
v0     vt     t a=(v_t-v_0)/t d=t(v_t+v_0 )/2
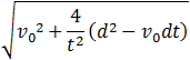
v0     d     t a=2(d-v_0 t)/t^2 v_t=√(〖v_0〗^2+4/t^2  (d^2-v_0 dt) )
vt     d     t a=2(tv_t-d)/t^2 v_0=(d±√(d^2+tv_t (tv_t-2d) ))/t
Train emergency stop - example 1 Print example 1
A train cruising at a speed of  220 km/h  is forced to activate the emergency breaks to reduce the speed to a maximum speed of  20 km/h,  calculate the breaking distance if the train has an acceleration of  − 1.8 m/s2.
Use eq. (2c) to find the breaking distance notice that  a  is negative:
d=(〖v_t〗^2-〖v_0〗^2)/2a=((20⁄3.6)^2-(220⁄3.6)^2)/(2∙(-1.8) )=1028.8  m
Derivation of acceleration equations - example 2 Print example 2
Determine the acceleration equations from the derivations       dx / dt = v       and       dv / dt = a
From the equation   dv / dt = a we have dv = a dt the integral of both sides: ∫_20^(v_x)▒〖dv_x 〗=∫_5^t▒〖a dt〗
The solution of the integral is: [v] ■(v@v_0 )=[at] ■(t@0)+C vt − v0 = at + C
From the initial condition       vt=0 = v0 we get the value of the constant   C   to be  0
and we get: vt = v0 + at (2b)
From the derivation     dx dt = v     we get dx = v dt = (v0 + at) dt ∫_0^d▒dx=∫_0^t▒(v_0+at)dt
The solution of the integral is:  [x] ■(d@0)=[v_0 t+1/2 at^2 ] ■(t@0) d=v_0 t+1/2 at^2+B
From the initial condition   dt=0 = 0 we get the value of the constant  B  to be  0.
and we get: (2a)
From the derivation  (2i)     a dx = v dt    we get the integral: a∫_0^d▒dx=∫_(v_1)^v▒〖v dv
The solution of the integral is: a[x] ■(d@0)=[1/2 v^2 ] ■(v_t@v_0 ) ad=1/2 〖v_0〗^2-1/2 〖v_t〗^2
and we get: vt2 = v02 + 2 a d (2c)
Object movement - example 3 Print example 3
Object movement - example 3
An object passes the point where  x = 0  while moving along the positive  x  axis at a constant speed of  20 m/s  after  5  seconds the object start an acceleration of  − 8 m/s2. Find the  x  coordinate and the velocity of the object at  t = 6 s  and  t = 10 s,  what will be the maximum positive distance in the  x  axis. After what time the object will pass the point  x = 0  in the negative direction.
According to eq. (2e) and (2g) a = dv / dt we get the integral (2g) ∫_50^(v_x)▒〖dv_x 〗=∫_4^t▒〖a dt〗
Notice that for  t = (0 to 6) s  the value of the integral is 0 due to 0 acceleration thus the velocity  vx  is constant and the distance travelled is  d = vx t = 20 * 5 = 100 m.
The result of the integral is: vx = a (t − 5) + 20 = 60 − 8t
The velocity after 6 seconds is: v6 = 60 − 8 * 6 = 12 m/s
The velocity after 10 seconds is: v10 = 60 − 8 * 10 = − 20 m/s
The distance travelled by the object is the area under the graph and is given by the equation:
∫_0^x▒dx=∫_0^4▒〖v_0  dt〗+∫_4^t▒〖v_x  dt〗
x=50∙4+∫_4^t▒(90-10t)  dt=200+[90t-10/2 t^2 ] ■(t_x@4)=-5〖t_x〗^2+90t_x-80
The location of the object after 6 seconds is: x6 = − 4 * 36 + 60 * 6 − 100 = 116 m
The location of the object after 10 seconds is: x10 = − 4 * 100 + 60 * 10 − 100 = 100 m
In order to find the maximum  x  displacement we will derive  x  according to  t  and compare it to  0
(dx / dt = 0)  then we find the time that  x  is maximum.
dx / dt = − 8t + 60 = 0 tx = 60 / 8 = 7.5 s
And the maximum positive x displacement is:
x = − 4 tx2 + 60 tx − 100 = − 4 * 7.52 + 60 * 7.5 − 100 = 125 m
In order to find the time that the object passes the  x = 0  axis we will set the equation of  x  to  0:
− 4t2 + 60t − 100 = 0 we get t1 = 1.91 s       t2 = 13.09 s
And the correct time is   t = 13.09 s
Car acceleration - example 4 Print example 4
Example 4
A car accelerates from rest to 100 kilometre per hour in 8.5 seconds when the car reached 120 km/h it continue cruising for another 10 minutes at the same velocity and then it breaks by a deceleration of  10 m/s2.  Find the distance that took the car to reach the speed of  120 km/h  and the break distance until rest from the moment the break was activated also find the total distance travelled by the car.

From eq.  (2b)  we will find the acceleration of the car until it reaches  100 km/h   after converting the speed to  m/s       100 km/h = 100 / 3.6 = 27.78 m/s
a=(v_t-v_0)/t=(100/3.6-0)/8.5=3.27  m/s^2
The distance travelled until 120 km/h from eq. (2c) is: d=(v_t^2-v_0^2)/2a=((120/3.6)^2-0)/(2∙3.27)=169.9  m
The 10 minutes distance travelled at constant speed is: d_c=120/3.6 10∙60=20 000  m
Break distance is: d=(v_t^2-v_0^2)/2a=0-(120/3.6)^2/(2∙10)=55.6  m
The total distance travelled by the car is:         D = d + dc + dd = 169.9 + 20 000 + 55.6 = 20 225.5 m
Trains emergency breaks - example 5 Print example 5
Example 5
Two trains that are traveling at  160 km/h  facing each other on the same track, at a distance of  1000 m  both drivers of the trains notice the problem and after a response time of  0.75 s  they sets the emergency breaks so that one train decelerates at a rate of  3 m/s2.  what should be the deceleration of the second train in order to prevent the collision.

The distance travelled by both trains as a result of the response time is:
d_R=2t_R v=2∙0.8 126/3.6=56 m (1 m/s = 3.6 km/h)
The break distance of the first train is from eq. (2c): d_B=(v_t^2-v_0^2)/2a=(0-(126/3.6)^2)/(-2∙4)=153.1 m
The distance that second train has to break is: D = 1000 − dR − dB = 1000 − 66.7 − 329.22 = 604.1 m
And the deceleration should be from eq. (2b): a=(v_t^2-v_0^2)/2D=(0-(126/3.6)^2)/(2∙790.9)=-0.774 m/s^2
Distance between two cars - example 6 Print example 6
Example 6
When a car start moving from rest by an acceleration of  3 m/s2  a second car which travels at a steady speed of  21 m/s  is passing the first car. what is the time and the speed that the first car has to have in order to reach the second car which moves at a constant speed.

We acknowledge that when the first car reach the second car the distances travelled by both cars are the same and if we denote the total time required as  t  then:
Distance travelled by the second car at constant speed is: d = v2 t
The distance travelled by the accelerating car is: d = v0 + a1 t2 / 2 (v0 = 0)
Comparing both distances, we get: 2 v2 t = a1 t2 / 2 t = 2 v2 / a
t = 2 * 21 / 3 = 14   [s]
And the speed of the first car after 14 s is: v1t = v0 + a * t = 0 + 3 * 14 = 42   [m/s]
Half time velocity - example 7 Print example 7
Example 7
An object start moving from rest at a constant acceleration it passes a distance of  90 m  in  6 seconds.  a) what was the object final velocity, b) what is the time required to travel half distance, c) what was the distance travelled in half time d) what was his velocity at half distance and e) what was the velocity at half time.

The acceleration is from (2a): a=2d/t^2 =(2∙20)/4^2 =2.5   m/s^2
a) The final velocity from eq. (2b) is: vt = v0 + a t = 0 + 5 * 6 = 30 m/s
b) Half distance time from (2a) is: t=√(2d/a)=√((2∙10)/2.5)=2.83  s
c) Distance travelled in half time d=v_0 t+1/2 at^2=0+1/2 2.5∙2^2=5   m
d) The velocity at half distance is: v_10=√(v_0^2+2ad_10 )=√(0+2∙2.5∙10)=7.01 m/s
e) The velocity at half time is: v(t=3) = v0 + at = 0 + 5 * 3 = 15 m/s
Chasing car - example 8 Print example 8
Example 8
A car is passing a parked police car at 160 km/h. after  2 seconds  the police start chasing the passing car at an acceleration of  3 m/s2,  the maximum speed of the police car is  220 km/h.  Find the distance that the police will catch the escaping car.

The distances travelled by both cars are the same and the time of escaping car is  t + 2 sec.
After  2  seconds the police car start chasing at an acceleration of  3 m/s2. We have to verify if the police car catches the escaping car at the acceleration phase or at the top speed velocity of  220 km/h.  This will be done by assuming that the police car accelerates until it caches the escaping car, and computing the distances travelled by both cars which should be the same.
For the police car: d = v0t + a t2 / 2 For the escaping car: d = ve (t + 2)
Comparing d of both cars: ve (t + 2) = v0 t + a t2 / 2 a t2 − 2 ve t − 4 ve = 0
By solving the quadratic equation for the time we get  t = 31.5 s  and the police car reaches a velocity of:
vt = v0 + a t = 0 + 3 * 31.5 * 3.6 = 340.2 km/h    this velocity is more than the upper police car speed limit, so we can say that the police car accelerates until it reach the top speed of  220 km/h  and after that it continues chasing by a constant speed of  220 km/h.
The time of the police car to reach top speed of 220 km/h from eq. (2b) is:
t = vt / a = 220 / (3 * 3.6) = 20.37 s
The distance travelled by the police car during  20.37 s  of acceleration according to eq. (2a) is:
d = v0 t + a t2 / 2 = 0 + 3 * 20.372 / 2 = 622.4 m
The distance travelled at the same time of  20.37 + 2 seconds  by the escaping car is:
d = v t = 160 * (20.37 + 2) / 3.6 = 994.2 m
td s
a m/s2
vpmax
km/h
ve
km/h
D
m
T
s
vp
km/h
If we denote the additional time required to catch the escaping car as  ta  then we can calculate the additional time by comparing the total travelled distances
Distance travelled by police car: dp = 622.4 + (220 / 3.6) ta
Distance travelled by escaping car: de = 994.2 + (160 / 3.6) ta
Solving for   ta  by setting     dp = de         we get:       ta = 22.3 s
Escaping car total travel time is: Te = 2 + 20.37 + 22.3 = 44.67 s
Total chasing distance of the police car is:
D = ve Te = 160 * 44.67 / 3.6 = 1985.3 m

v_10=√(v_0^2+2ad_10 )=√(0+2∙2.5∙10)=7.01 m/s
Schematic plot
Red curve is the acceleration of the police car until it reaches top speed, after the max velocity reached the chasing is at the maximum police car speed the blue line.
Blue line police car chasing at top speed.
Green line Escaping car constant speed during the complete chasing.
Figure - 1

v_10=√(v_0^2+2ad_10 )=√(0+2∙2.5∙10)=7.01 m/s
If the police car top speed is high enough it can catch the escaping car during the acceleration time, this case is simpler and is:
de = 160 * (2 + ta) / 3.6
dp = a ta2 / 2
de = dp
1.5 ta2 − 44.4 ta − 88.9 = 0
The result is:         ta = 31.5 s
And the catch time D is:
D = 140 (2 + 31.5) / 3.6 = 1302.8 m
Police top speed should be more than:
vmax = a ta = 3 * 31.5 = 94.5 m/s
= 340.2 km/h
Figure - 2
Lose time because of deceleration - example 9 Print example 9
Example 9
The speed on 11 km of railroad tracks is limited to a maximum of 60 km/h due to working nearby. Find the time lose of a train which has a normal speed of 160 km/h if the train deceleration is 3 m/s2 and the acceleration is 2 m/s2.

The time lose is divided into 3 sections the first section is the deceleration to lower speed the second section is the reduced speed railroad tracks and the third section is the acceleration section back to the normal speed, the following graph is the description of the train motion:
Graph of the velocity along the path
The time to reach a speed of 45 km/h from eq. (2b) t=(v_t-v_0)/a=(45-90)/(-2∙3.6)=57.5  s
Distance travelled during deceleration from eq. (2c) d=(v_t^2-v_0^2)/2a=(45^2-90^2)/(-2∙3.6^2 )=234.37   m
Time to finish the rest of the 5 km track t2 = d2 / vt = 3.6 * 11000 / 60 = 660 s
v0
m/s
vt
m/s
a1 m/s2
a2 m/s2
d
m
d1
m
d3
m
t
s
td
s
Δ t
s
Time to accelerate back to 90 km/h
t_3=(v_t-v_0)/a=(90-45)/(2∙3.6)=57.5 s
Distance travelled during acceleration from eq. (2c)
d_3=(v_t^2-v_0^2)/2a=(90^2-45^2)/(2∙2∙3.6^2 )=117.18 m
Time to pass the defective track:
t45 = t1 + t2 + t3 = 9.26 + 660 + 13.89 = 683.15 s
Total distance travelled back to 90 km/h:
D = d1 + d3 + d3 = 282.92 + 11000 + 424.38 = 11707.3 m
Time to pass distance D by 90 km/h:
t90 = D / vt = 11707.3 * 3.6 / 160 = 263.41 s
And the time lose is:
T = t45 − t90 = 683.15 − 263.41 = 419.74 s = 7 min
Railroad and car crossing - example 10 Print example 10
Example 10
As the train reaches point  A  at a speed of  160 km/h  it starts to brake and his velocity at point  B  which is  0.6 km  from point  A  is measured to be  145 km/h  the train continues breaking until it passes the crossing, at the same time that the train reach point  A  a car driver driving at  80 km/h  decides to pass the crossing before the train. Find the acceleration of the car if he want to reach the crossing  5 seconds   before the train.

First we will calculate the deceleration  at  of the train from point  A  to point  B  from eq. (2c):
a=(v_t^2-v_0^2)/2d=(110^2-160^2)/(2∙500∙3.6^2 )=-1.04  m/s^2 (1 m/s = 3.6 km/h)
The time  t  that the train will go from point A to the crossing is according to eq. (2a):
t=(-v_0±√(v_0^2+2ad))/a=(-160⁄3.6+√(160^2⁄3.6^2 -2∙0.29∙2000))/(-0.29)=54.78 s
The travel time of the car to the crossing is  5 s  less: tc = t − 5 = 55.02 − 5 = 50.02 s
And the acceleration of the car from eq. (2a) is:
a=(2d-2v_0 t)/t^2 =(2∙1800-2∙50.78∙80/3.6)/〖50.78〗^2 =0.52  m/s^2
Velocity of the car at the crossing is: vct = vc0 + atc = 80 / 3.6 + 0.55 * 50.02 = 49.73 m/s = 179 km/h
Acceleration due to wind - example 11 Print example 11
Example 11
An object is thrown at an initial velocity of  8 m/s  against a steady wind which is causing an acceleration of  2 m/s2  in the direction of the wind. Find the location of the object at  2, 5 and 10 seconds  also find the maximum positive distance of the object and the time that the object passes point  x = 0.

Because the acceleration's direction is in the negative x axis it is equal to  a = − 2 m/s2.
Use eq. (2a) to find the locations of the object. d=v_0 t+a t^2/2  m/s^2
Location after 2 seconds is: d = 8 * 2 − 2 * 22 / 2 = 12 m
Location after 6 seconds is: d = 8 * 6 − 2 * 62 / 2 = 12 m
Location after 10 seconds is: d = 8 * 10 − 2 * 102 / 2 = − 20 m
The maximum x displacement is when vt = 0 from eq. (2c) at this point the object invert the flight direction. dmax = −v02 / (2 * a) = − 16   m
At point x = 0 according to eq. (2a) we get: t (v0 + a t / 2) = 0
First time is t = 0 this is the throw point the second time is the required time and is:
t = − 2 v0 / a = 2 * 8 / 2 = 8 s
A car acceleration and deceleration - example 12 Print example 12
Example 12
A car is traveling from point  A  from rest to point  B  which is    1 km  apart with an acceleration of  3 m/s2  and with a deceleration of  2 m/s2  until it stops at point  B.  Find the minimum time that took the car to reach point  B  and the maximum speed of the car.

The distance from A to B is divided into two sections first the acceleration portion and the deceleration portion, in order to make minimum travel time the acceleration and deceleration should be performed during the complete distance to point B.
Schematic graph We know that vA = vB = 0
we have to find the variables  d and vC
denote the distance from  A to B  as  D.
D
m
aa m/s2
ad m/s2
d
m
vC
m/s
ta
s
td
s
For the acceleration portion from eq. (2c)    (v0 = 0   vt = vC).
vC2 = 2 aa d
For the deceleration portion from eq. (2c)    (v0 = vC   vt = 0).
vC2 + 2 ad (D − d) = 0
We get two equations with two unknowns vC and d after substituting the value of vC2 we get:
And the acceleration distance is:
d=(a_d D)/(a_d-a_a )=(-0.5∙1000)/(-0.5-0.3)=625  m
The maximum speed vC is:
v_C=√(2a_a d)=√(2∙0.3∙625)=19.36  m⁄s=69.7 km/h
And the times are: t_a=(v_C-v_A)/a_a =49/3=16.33  s t_d=(v_B-v_C)/a_d =(-49)/(-3)=24.5  s
cheetah chasing a deer - example 13 Print example 13
Example 13
A Cheetah can reach top speed of  100 km/h  in 2 sec and can stay at this speed for  20  seconds  a deer can reach a top speed of  80 km/h  in 2.5 sec but can stay at this speed for long duration. If the response time of the deer is 1 sec find what should be the minimum distance between the cheetah and the deer to allow the deer to escape.

Note: We will denote the values of the cheetah by capital letters Ac V2 and the deer values by small letters ad v2, the acceleration phase denoted by index 1  e.g d1  t1  for the deer and D1  T1  for the cheetah (red arrow) and the same method of sings are for the steady state speed denoted by the index  2 (blue arrow).
Chase schematic drawing
The acceleration of the cheetah is: Ac = V2 / T1
The acceleration of the deer is: ad = v2 / t1
Cheetah acceleration distance from eq. (2c)
D_1=(v_t^2-v_0^2)/(2a_c )=(100⁄3.6)^2/(2∙14)=27.56 m
Cheetah steady state distance: D2 = V2 * T2 = 100 * 20 / 3.6 = 555.6 m
Cheetah maximum chase distance is: Dmax = D1 + D2 = 27.78 + 555.6 = 583.3 m
V2
m/s
T1 s
T2 s
v2
m/s
t1 s
tdelay s
dmin
m
Dmax
m
Tmax
s
Deer acceleration distance from eq. (2c)    (v0 = 0   vt = vd ).
d1 = ad * t12 / 2 = v2 * t1 / 2 = 80 * 2.5 / (3.6 * 2) = 27.8 m
Deer steady state time:
t2 = Tmax − t1 − tdelay = 22 − 2.5 − 1.0 = 18.5 s
Deer steady state distance:
d2 = v2 * t2 = 80 * 18.5 / 3.6 = 411.1 m
Deer escape distance:             dmin = Dmax − d1 − d2
Minimum safe distance of the deer from the cheetah is:
dmin = Dmax − d1 − d2 = 583.3 − 27.8 − 411.1 = 144.4 m
The minimum safe distance between cheetah and deer after inserting the known parameters is:
d_min=V_2 (T_1/2+T_2 )-v_2 (T_1+T_2-t_1/2-t_delay )
Another way to write this equation: d_min=T_1 (V_2/2-v_2 )+T_2 (V_2-v_2 )+v_2 (t_1/2+t_delay )
Displacement, velocity and acceleration graph - example 14 Print example 14
Example 14a
Given the graph of the displacement as a function of time. Describe the nature of the motion of the different slopes and find the location and velocity of the object at 2 sec, 10 sec and 14 sec

Interval 0 - 4 sec    the steady velocity is:
v = dx / dt = (8 − 2) / (4 − 0) = 1.5 m/s
Interval 4 - 12 sec   object is at rest   (Δx = 0)
Interval 12 - 16 sec   the backward velocity is:
v = dx / dt = (12 − 16) / (16 − 12) = − 1.0 m/s
Note: When the graph of the displacement as a function of time  t  is a straight non horizontal line then the velocity has a constant speed (the horizontal line describes zero velocity).
Example 14b
Given the same graph as before but this time the vertical axis is the velocity of the object. Describe the nature of the motion at the different slopes.

The slope defines the acceleration of the object:
a = dv / dt = (v2 − v1) / (t2 − t1)
Interval 0 - 4 sec    is a steady acceleration:
a = dv / dt = (8 − 2) / (4 − 0) = 1.5 m/s2
Interval 4 - 12 sec   is describing a motion of constant velocity         (Δ a = 0),   v = 8 m / s
Interval 12 - 16 sec   is deceleration of: a = dv / dt = (12 − 16) / (16 − 12) = − 1.0 m/s2
Note: The integral of   v(t) dt   is the area under the graph and is equal to the distance travelled by the object from   t1  to  t2 . For the interval from 0 - 4 sec the velocity is given by the line   v = 1.5t + 2
And the distance travelled is:     x_(0-4)=∫_0^4▒(1.5t+2)dt=[0.75t^2+2t] ■(4@0)=0.75∙16+8=20  m
This result can be verified by equations (2b) and (2c) x_(0-4)=t(v_4+v_0 )/2=4(8+2)/2=20  m

Example 14b
Given the graph of the acceleration as a function of time. Describe the nature of the motion, what will be the velocity and the displacement after 4 sec and 8 sec.

The acceleration has a linear increase of time,
The equation of the acceleration can be found by calculating the line equation:
a=mt=(a_4-a_2)/(t_8-t_4 ) t=(4-2)/(8-4) t=0.5t
NOTE:   m - is the tangent of the acceleration line.
Interval 0 - 4 sec we use the definition      a = dv / dt dv = a dt ∫▒dv=∫_0^4▒〖0.5t dt〗
Solving the integral, we get: v_(t=4)=[0.25∙┤ ├ t^2 ┤| ■(4@0)=4  m⁄s
For the displacement:      v = dx / dt dx = v dt ∫▒dx=∫_0^4▒〖0.25t^2  dt〗
Solving the integral, we get: x_(t=4)=[0.25/3∙┤ ├ t^3 ┤| ■(4@0)=5.3  m
Interval 0 - 8 sec The integral solution as before: v_(t=8)=[0.25∙┤ ├ t^2 ┤| ■(8@0)=16   m⁄s
And for the displacement we have: x_(t=8)=[0.25/3∙┤ ├ t^3 ┤| ■(8@0)=42.7  m
Displacement and acceleration graph - example 15 Print example 15
Example 15
An object moves in a straight line with a velocity whose square decreases linearly with the distance from point A to point B as shown in the graph. If the distance between the points is 120 m find the distance travelled during 2 seconds before arriving to point B, and the distance from point B to the point where the object stops.

From the graph we have the initial and the final velocities and the distance travelled so the acceleration can be found:
The acceleration of the object is: a=(v_B^2-v_A^2)/2d=(1600-2500)/(2∙120)=-3.75  m/s^2
For the final 2 seconds we have: d_3=v_B t-1/2 at^2=40∙3-(-3.75∙3^2)/2=136.87  m
Distance from B to the stop point is: d_0=(v_t^2-v_B^2)/2a=(-1600)/(-3.75∙2)=213.33   m
The travel time from point A to B is: t_AB=(v_B-v_A)/a=(40-50)/(-3.75)=2.67  s
Car and motorcycle race - example 16 Print example 16
Example 16
A motorcycle has an acceleration of 12 m/s2 and a maximum speed of 150 km/h and a car has an acceleration of 2 m/s2 and a top speed of 105 km/h both starts racing from rest and are traveling a distance of 1 km. Because the motorcycle has advantage over the car, they agreed that the car will start the race 15 seconds before the motorcycle. Find which one will win the race.

We will solve the example step by step and describing the various possibilities of the calculations.
Step 1 Find the acceleration distance of the car  dca  up to the top speed of vc and the motorcycle  dma  up to the top speed of  vm , in our case v0 = 0
d_ca=(v_t^2-v_B^2)/(2a_c ) d_ca=(v_t^2-v_B^2)/(2a_c )
Step 2 Calculating the acceleration times of the car tca and the motorcycle tma
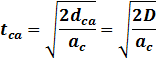
If   dca > D   use the equation: t_ca=√((2d_ca)/a_c )=√(2D/a_c) else use tca = vc / ac
If   dma > D   use the equation:  t_ma=√((2d_ma)/a_m )=√(2D/a_m) else use tma = vm / am
Step 3 Calculating the steady speed distance of the car  dc  and of the motorcycle  dm
If   dca > D   than: dc = 0 else use values of step 1 dc = D − dca
If   dma > D   than: dm = 0 else use values of step 1 dm = D − dma
Step 4 Calculate the times of the steady speed of the car tc and the motorcycle tm.
If   dca > D   than: tc = 0 else use values of step 3 tc = dc / vc
If   dma > D   than: dm = 0 else use values of step 3 tm = dm / vm
Step 5 Calculate the total times of the car Tc and motorcycle Tm to complete the whole track length.
Tc = tca + tc Tm = tma + tm + tdelay
Step 6 Verify the winner of the race
If     Tm > Tc car wines else if     Tm < Tc then motorcycle wines
We can write the condition to win the race. If the expression is true then motorcycle wines the race. D/v_m -v_m/(2a_m )>D/v_c -v_c/(2a_c )

Now we will find the distance that the vehicle that lost the race did  (the total time is of the winner).
Motorcycle wines: If       Tm > tca dcar = dca + vc (Tm − tca)
dis=v_c^2/(2a_c )+v_c (D/v_m +v_m/(2a_m )+t_delay-v_c/a_c )
If       Tm < tca d_car=1/2 a_c (T_m)^2
Car wines: If       Tc > tma + tdelay dmot = dma + vm (Tc − tma − tdelay)
dis=v_m^2/(2a_m )+v_m (D/v_c +v_c/(2a_c )-t_delay-v_m/a_m )
If       Tm < tca d_mot=1/2 a_m (T_c-t_delay )^2

vc
km/h
ac m/s2
vm
km/h
am m/s2
D
m
tdelay s
Win
d 
m

Car Motorcycle
dca
dma
tca
tma
dc
dm
tc
tm
Tc
Tm
Now we will solve numerical the example:
Step 1  we found that  dca = 212.67 m  and  dma = 72.34 m
Step 2  Find the values of   tca  and  tma
Because     dca < D we have     tca =  vc /  ac = 14.58 s
Because     dma < D we have     tma =  vm /  am = 3.47 s
Step 3  Find the values of     dc = 787.33 m  and  dm = 927.66 m
Step 4  Find the values of     tc = 27 s   and   tm = 22.26 s
Step 5  Calculate the values of     Tc = 41.58 s  and  Tm = 40.73 s
Step 6  Because    Tc > Tm   the motorcycle will win the race.
Now we will calculate the distance that the car did:
Because   Tm = 40.73 s   and    tca = 14.58 s   we have:
Tm > tca     therefore     dcar = 975.46 m
Notes: there are four possible schemes for the car and the motorcycle acceleration and steady speed motion that has to be analysed in order to solve the problem.
Note: Motorcycle delay time is positive, car delay time should be negative value - Ex5. *** all the results values are in  [m]  and  [s].
Scheme 1
Ex1
Example 16 - motion options Car and motorcycle reaches steady speed while motorcycle wins
Scheme 2
Ex2
Example 16 - motion options car is at acceleration stage while motorcycle wins at steady speed
Scheme 3
Ex3
Example 16 - motion options Car at steady speed while motorcycle wins at the acceleration stage
Scheme 4
Ex4
Example 16 - motion options car and motorcycle are at the stage of acceleration while motorcycle wins
Car and motorcycle distance - example 17 Print example 17
Example 16
A motorcycle and a car start moving from rest at the same time, the car has an acceleration of 1.5 m/s2 and the motorcycle has an acceleration of 2.0 m/s2 the motorcycle was behind the car by a distance of 60 m. Calculate the time and distance that the motorcycle did until it reach the car, what are the velocities of the car and motorcycle at the meeting point.

am m/s2
v0m
m/s
ac m/s2
v0c
m/s
d
m
vm
m/s
vc
m/s
t
s
Dtot
m
Schematic motion plot Schematic motion plot
The distance that the car and the motorcycle made from the origin as a function of time is given by eq. (2a) and is:
d_c=v_c0 t+1/2 a_c t^2+d d_m=v_m0 t+1/2 a_m t^2
Because the time is the same for both the car and the motorcycle then the distance from the car to the motorcycle is given by the difference:
D=d_c+d-d_m=v_c0 t+1/2 a_c t^2+d-v_m0 t-1/2 a_m t^2
At the time when the motorcycle reach the car D = 0 and we get the quadratic equation:
t^2 ((a_c-a_m)/2)+t(v_c0-v_m0 )+d=0
The solution of the equation is: t=((v_c0-v_m0 )^2±√((v_c0-v_m0 )^2-2d(v_c0-v_m0 ) ))/(a_c-a_m )
In our case we have: t=2 (±√(-2∙45(1.2-1.8) ))/(1.2-1.8)=2 (±7.35)/(-0.6)=24.5  s

Notice: from the solution for  t  we can see that for a proper solution the condition:
(vc0 − vm0)2 >= 2 d (ac − am)
should be fulfilled, this happens automatically when am >= ac when am < ac there is a range of inputs that as a result we get two values for t (see calculator Ex4 press NS button to get the second solution).
Object location as a function of time - example 40 Print example 40
Example 40
An object displacement is described as a function of time according to the equation   x(t) = 2 t3 + 3 t2 − 5t − 4. Find the velocity and the acceleration of the object and the initial velocity and acceleration when the time   t = 0.

The velocity of the object according to eq.  (2d)  is: v(t)=dx/dt=6t^2+6t-5
The acceleration of the object according to eq.  (2e)  is: a(t)=dv/dt=12t+6
The initial velocity when  (t = 0)  is: v(t=0) = 6 * 0 + 6 * 0 − 5 = − 5 m/s
The initial acceleration when  (t = 0)  is: a(t=0) = 12 * 0 + 6 = 6 m/s2
We can see that the acceleration is not constant because it depends on the time.
Acceleration as a function of time - example 41 Print example 41
Example 41
Initial location of a car in the  x - y  axis is at  x0 = − 8 m  the initial velocity at that point is  v0 = 3 m/s  the acceleration as a function of time is given by  a(t) = 12t + 10 m/s2.  Find the velocity and the location of the car as a function of time.

From eq.  (2g)  we have: v(t)=∫a dt ∫(3+5t)dt=3t+5/2 t^2+A
The constant A will be evaluate from the initial condition  v(t=0) = 3 [m/s]  and we have:
0 + 0 + A = 3             A = 3  and           v(t) = 6 t2 + 10t + 3  [m/s]
From eq.  (2h)     we have: v(t)=∫a dt ∫(3+5t)dt=3t+5/2 t^2+A
From initial condition  x(t=0) = − 8 [m]  we have: 0 + 0 + 0 + B = − 8 B = − 8  [m]
x(t) = 2 t3 + 5 t2 + 3 t − 8   [m]
Car break as a function of time - example 42 Print example 42
Example 42
The velocity of a car is  30 m/s  at time  t = 0  it starts a deceleration which is given by the equation  a(t) = − 12t  m/s2.  Find the distance travelled by the car until it stops.

The velocity of the car can be found by eq.  (2g) v=∫a dt= ∫-12t dt=-6t^2+A
We know that at  t = 0  the velocity of the car was  30 m/s  so we can evaluate the constant  A
v(t = 0) = 0 + A = 30 A = 30 v(t) = 30 − 6t2
The total travel time until car stops is: 30 − 6t2 = 0 t=√(30/6)=√5 s
From the value of  v(t)  we can find the displacement from eq. (2h)
x=∫v dt=∫(30-6t^2 ) dt=30t-2t^3+B
And the break distance is 44.7 m