☖ Home Units Converter Geometry Σ Math Physics Electricity

Polygons calculator

Print polygons calculator
* Type 2 values - [R, n]   or    [n, r]
Degree Radian
   
Number of sides (n) should be bigger then 2
Radius (R)
Number of sides (n)
Inner radius (r)
Polygon rib (a)
Polygon area (Pa)
Polygon circumference (Pc)
Central angle (α)
Side angle (β)
Total beta (∑β)
Triangle area (Ta)
Outer circle area (Ca)
Outer circle circumference (Pc)
Value of r/R

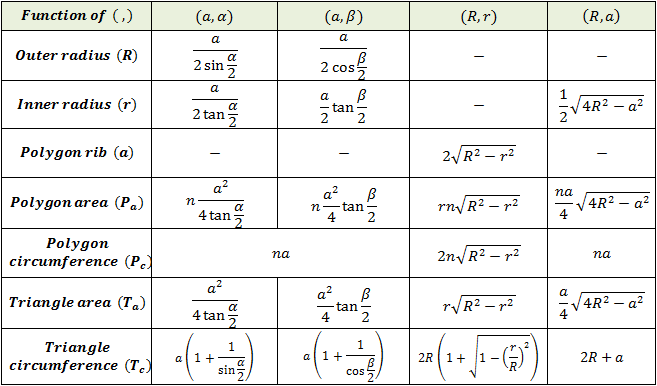
Polygons equations

Print polygons equations



Polygon selected angles summary

Print polygons selected angles

Note: Numbers are rounded to 3 decimal places.