Circle defined by 3 points calculator

Equation of a circle passing through 3 points (x1, y1) (x2, y2) and (x3, y3) summary



After substituting the three given points which lies on the circle, we get the set of equations that can be described by the determinant:






Center point (x, y) and the radius of a circle passing through 3 points (x1, y1) (x2, y2) and (x3, y3) are:

Example 1 - Circle Defined by 3 Points

B = (9 ⧾ 16)(⎯4 ⎯ 5) ⧾ (16 ⧾ 25)(4 ⧾ 4) ⧾ (1 ⧾ 16)(5 ⎯ 4) = 120
D = (9 ⧾ 16)[1 • 5 ⎯ 4(⎯4)] ⧾ (16 ⧾ 25)[⎯3 • (⎯4) ⎯ 1 · 4] ⧾ (1 ⧾ 16)[4 • 4 ⎯ (⎯3) 5] = 1380

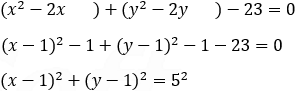
To find the equation of the circle represented by standard form we can use the equations described in the summary or use the complementary square method as described bellow:

The center of the circle is oviouse and is x = 1 and y = 1 (1, 1)
Another way to find the circle's equation is by substituting the points into the circle general equation, each of theme should satisfy the equation of the circle.

We got 3 equations with 3 unknowns B, C and D, solving thos equations we shell get the same solution.
Example 2 - Circle Defined by 3 Points

(6 , 3) and (0 , 3).
Because each point given should fulfill the equation of the circle we have to solve the following set of equations with the unknowns A, B, C and D:

Because all the equations equal to 0 also the determinant of the coefficients should be equal to 0 and the value of the determinant will be as follows:

Notice that we got the equation of a circle with the determinants equal to the coefficients A, B, C and D as follows; (x2 + y2)A + xB + yC + D = 0.




After dividing all terms by 6 we get: A = 1 B =−6 C = −14 D = 33.
And the equation of the circle is: x2 + y2 ⎯ 6x ⎯ 14y + 33 = 0


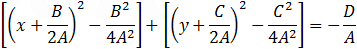
![A[(x+B/2A)^2-B^2/(4A^2 )]+A[(y+C/2A)^2-C^2/(4A^2 )]+D=0](/TrigoCalc/Images/Circle/eq2h.png)
![[(x+B/2A)^2-B^2/(4A^2 )]+[(y+C/2A)^2-C^2/(4A^2 )]=-D/A](/TrigoCalc/Images/Circle/eq2i.png)

The last equation is a circle with the center and radius equals to (notice the minus sign at x and y):



The equation of the circle can be presented by the center and the radius as: (x ⎯ 3)2 + (y ⎯ 7)2 = 52
Example 3 - Circle Defined by 2 Points and the y axis

We have to find a circle that the center is on the y axis, so the circle equation should look like:


Now we can substitute both points into the circle equation:



To find the radius of the circle we substitute the value h = −1 into the circle equation:
17 + 2 + 1 = r2 and r2 = 20

The location of all circle center families can be defined as follows:
| k | h | Center location |
|---|---|---|
| k = 0 | h = 0 | Origin |
| k = 0 | h ≠ 0 | On y axis |
| k ≠ 0 | h = 0 | On x axis |
| k ≠ 0 | h = k | On line 45° |
| k ≠ 0 | h ≠ 0 | Anywhere |
