Universal gates implementation
There are three most basic types of gates which are the AND, OR and the NOT. Using those gates we can produce all the Boolean expressions. The same way we can produce all kind of gates by using the two sets of gates the AND and NOT that together are the NAND gate and the set of OR and NOT which are the NOR gate. Therefore, we denote the NAND and the NOR gates as universal gates, see the table below to see how it’s done.
Verification of final values
(1)
The output of the XOR-NAND circuit is:

(2)
The output of the XNOR-NAND circuit is:

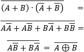
(3)
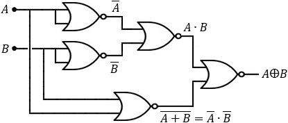
The output of the XOR-NOR circuit is:






















