Derivation & Integrals Summary
Derivation Basic Rules Print derivation basic rules
[DERIVATION TABLES] --- Algebric and Logarithmes functions Print derivation tables algebric
[DERIVATION TABLES] --- Trigonometric Functions Print trigonometric derivation tables
Partial Derivation Print partial derivation
Integrals Basic Data Print integrals basic data
Area and volume of revolution summary Print area and volume of revolution
Area of a surface of revolution summary Print area of a surface of revolution summary
[INTEGRAL TABLES] --- Basic algebric functions Print tables basic algebric
[INTEGRAL TABLES] --- Exponential functions of the form:     e x Print tables exponential
[INTEGRAL TABLES] --- Logarithms functions of   ln x Print tables of ln x functions
[INTEGRAL TABLES] --- Trigonometric functions of   sinn x Print tables of sin^n x functions
[INTEGRAL TABLES] --- Trigonometric functions of   sinx cosx Print tables of sinx cosx functions
[INTEGRAL TABLES] --- Trigonometric functions of   xn sinx Print tables of sinx cosx functions
[INTEGRAL TABLES] --- Trigonometric inverse functions Print table of trigonometric inverse functions
[INTEGRAL TABLES] --- Trigonometric hyperbolic functions Print integral table of trigonometric inverse functions
[DERIVATION TABLES] --- of   1 ± x2   Functions Print derivation table
[INTEGRAL TABLES] --- of   x ± a Print integral table
[INTEGRAL TABLES] --- Algebric functions of the form:       Print integral table
[INTEGRAL TABLES] --- Algebric functions of the form:       (a + bx)(c + ex) Print integral table
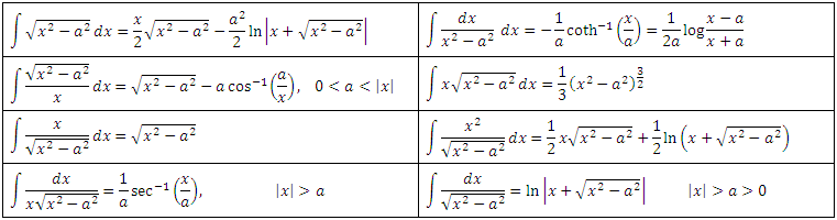
[INTEGRAL TABLES] --- Algebric functions of the forms:     a2 + x2       a2 − x2       x2 − a2 Print integral table
[INTEGRAL TABLES] --- Algebric functions of the form:       a + bx Print integral table
[INTEGRAL TABLES] --- Algebric functions of the form:       a + bxn Print integral table
[INTEGRAL TABLES] --- Algebric functions of the form:       Print integral table
[INTEGRAL TABLES] --- Algebric functions of the form:       Print integral table
[INTEGRAL TABLES] --- Algebric functions of the form:       Print integral table
[INTEGRAL TABLES] --- Algebric functions of the form:    a + bx + cx2 Print integral table
[INTEGRAL TABLES] --- Definite integrals Print definite integral table